Weekly Headlines 7th March
Japanese support to decarbonise ASEAN, US continued green hydrogen effort, and UN treaty to protect oceans finally agreed.
This week, countries are collaborating and competing with each other with continued effort to develop green hydrogen in the US, and Japanese support to decarbonise ASEAN economies. Don’t forget to check out our green market updates and special topic on Biodiversity this week!
Don’t forget to follow us on Instagram as well for interactive content!
What’s up this week?
🌱Cuba's president meets CEO of Russia's Rosneft amid fuel shortage
Igor Sechin, Russian oil firm’s CEO met with Cuban President Miguel Diaz-Canel last Saturday to discuss the devastating fuel shortage that has temporarily shut service stations or service long gasoline queues. The continued good relationship between the countries is further facilitated by ‘emergency’ donations e.g. 25,000 tons of wheat to combat shortages on the island as Cuba battles its worst economic crisis in decades. Russia, hit strongly by Western sanctions over the conflict in Ukraine, seeks to strengthen political and economic ties with countries opposed to what it names the ‘U.S. hegemony’.
🌱Japan pledges support to help ASEAN decarbonize its economies
Japan has promised financial and technological support to help ASEAN countries accelerate their efforts to decarbonise their economies and combat climate change. As an energy-poor country, Japan hopes to become the world leader in a hydrogen based economy to reduce dependence on traditional polluting fossil fuels. The Asia Zero Emission Community (AZEC) is set to create a masterplan for hydrogen and ammonia in Asia as the next step after the Japanese companies incl. Iwatani Corp and Electric Power Development have agreed to collaboration to create Japan’s first hydrogen supply chain between Australia’s Victoria state and Kwasaki to advance energy transition toward a cleaner society.
🌱Biden admin works on 'green' natural gas as U.S. vies for top LNG spot
The Biden administration is negotiating with global energy companies and foreign officials to set standards for certified natural gas, a form of fuel that producers have been marketing as climate friendly. Gas producers have tried to prove that LNG has been produced and transported in ways that minimise emissions using third-party certifiers like the startup Project Canary for years. The lack of unified standards on measurements and verification of emissions along the gas supply chain and Europe’s energy crisis following the Russian invasion of Ukraine have stunted the low-carbon gas market’s progression. Additionally U.S. LNG has been linked to methane leakage and its large amounts of energy to supercool and ship, which adds to its carbon footprint.
🌱 UN treaty to protect oceans agreed after decades of talks
After nearly two decades of on-off discussions, the UN High Seas Treaty has been concluded, with the aim to protect 30% of international waters by 2030. The talks were centred around the support for developing nations to meet the treaty’s commitments and debate about who will benefit from marine resources. As the first legal structure to protect the marine areas, this treaty is significant to enforcing pledges made at the UN COP15 biodiversity conference to preserve ⅓ of the sea and land by 2030. The deal will have to be ratified by 60 states before it can enter into force and officially come into force at a later UN session, with no reopening or discussions of substance on the text.
🌱EU Launches New Cooperation Programmes with Morocco Worth €624 Million for Green Transition
New cooperation programmes worth a total of €624 million is announced in between EU and Morocco to support Morocco’s transition to green energy and enhance collaboration on (i) addressing irregular migration management, (ii) reinforcing social protection, (iii) supporting the green transition, (iv) supporting the reform of the public administration, (v) enhancing financial inclusion. These comprehensive programmes seek to strengthen Moroccan border management to fight against smuggling networks, simplify and digitalise administrative procedures and support Moroccan agriculture and forestry upkeep and improve employment and social security coverage of workers.
What’s moving the markets?
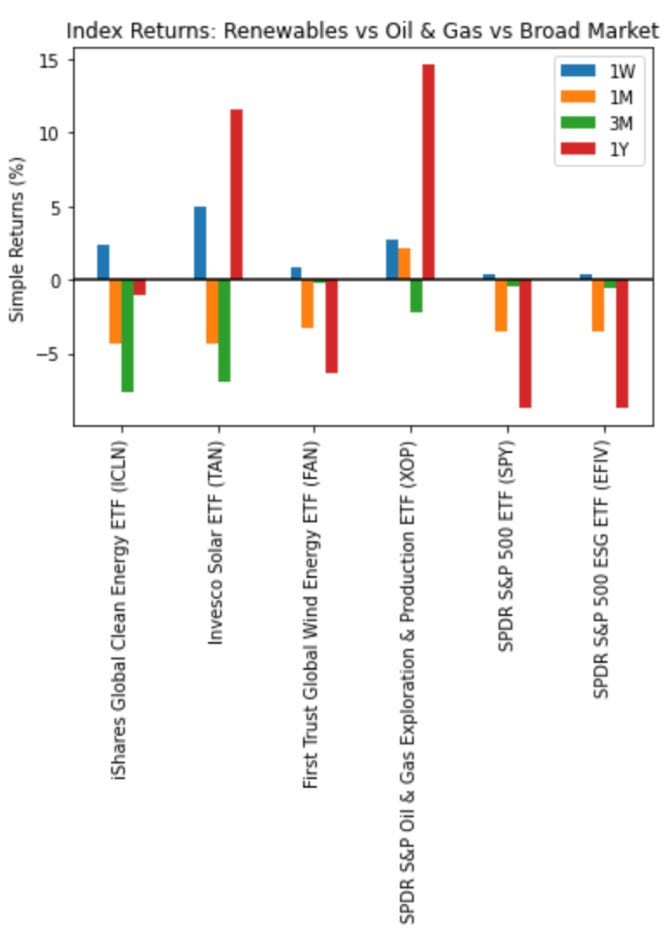
This new section aims to provide readers a glance into the markets, starting from a universe of clean energy funds vs oil & gas (and the broad market index, SPY). Disclaimer: This is not an investment advice - do your own research and consult an investment professional.
Over the past week, all energy indices (both renewables and O&G) outperformed the broad market with solar companies leading the chart with around +5% returns. Despite worse 1M and 3M returns, TAN remains the best performing renewables index over 1Y with around +11% return while others produced negative returns alongside the broad market.
Biodiversity - the missing factor in ESG-risk calculus
A fresh analysis by nonprofit ShareAction found that only 10% of the asset managers it surveyed say they have a dedicated biodiversity policy covering all their portfolios. It appears that asset managers have been missing out this critical factor - we explore what biodiversity really is, and how it should be accounted for.
Why does biodiversity matter? Reducing carbon emissions just won’t cut it if firms are directly damaging the natural environment where they operate.
The importance of biodiversity in particular cannot be understated. Many ecosystems are fragile, and their maintenance relies heavily on the presence of numerous insects, animals and plants at different stages of the food chain.
A WWF report found that corporations and those funding them have contributed to the destruction of the world’s natural resources, with animal populations dropping by an estimated 69% since 1970.
Biodiversity will vary from one sector to another, but an analysis by the data science firm RepRisk has found 81% of oil and gas pipelines around the world are within 10km of least one environmentally sensitive site.
The working definition of nature (which includes biodiversity) in the TNFD framework is ‘the natural world, with an emphasis on the diversity of living organisms (including people) and their interactions among themselves and with their environment. People and societies interact with nature and are not separate from it. Nature can be understood through a construct of four realms – Land, Ocean, Freshwater and Atmosphere.
Initiatives are being taken internationally to raise awareness of the ramifications of biodiversity loss, including by the Intergovernmental Science-Policy Platform on Biodiversity and Ecosystem Services (IPBES) and the Natural Capital Coalition (NCC).
Most recently, the Taskforce on Nature-related Financial Disclosures (TNFD), a working group of 35 financial and climate members whose mission is to develop risk management frameworks for climate change, released a 1st beta nature framework to help companies move investments away from nature-negative activities.
RepRisk’s executive vice president, Alex Mihailescu Cichon told Forbes climate change and biodiversity are “inextricably linked”.
“You can't really talk about climate change without talking about biodiversity, or the other way around, because climate change can affect the further loss of biodiversity,” she said.
She also added that biodiversity was very location specific, meaning that firms must have acute knowledge about the ecosystems they operate in and the impact they’ve had on them.
RepRisk has recently launched a biodiversity risk tool, which identifies the proximity of more than 60,000 mining and oil and gas projects to 270,000 protected areas and 16,000 key biodiversity areas around the world.
Thank you for reading Sustainability Matters. Let us know what you think about this new content layout for us to make this helpful for you!
This newsletter is jointly distributed by General Pacific. General Pacific is an advisory house and venture builder with a focus on growing high-impact businesses, with the potential to be game-changers and disruptors in their respective sectors in Southeast Asia.



